量身定制
拒绝模板 定制风格
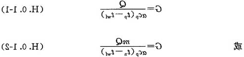
H.0.1 自然通风的通风量应按下列公式计算:

式中:G——自然通风的通风量(kg/h);
Q——散至室内的全部显热量(W);
cp——空气的定压比热容,取1[kJ/(kg·℃)];
α——单位换算系数,对于法定计量单位,取0.28;
tp——排风温度(℃),按本规范第H.0.2条确定;
tn——室内工作地点温度(℃),按本规范第4.1.4条确定;
twf——夏季通风室外计算温度(℃),按本规范第4.2.7条确定;
m——散热量有效系数,按本规范第H.0.3条确定。
H.0.2 排风口温度应根据不同情况,分别按下列规定采用:
1 有条件时,可按与夏季通风室外计算温度的允许温差确定;
2 室内散热量比较均匀,且不大于116W/m3时,可按下式计算:
式中:△tH——温度梯度(℃/m),按表H.0.2采用;
H——排风口中心距地面的高度(m)。
表H.0.2 温度梯度△tH值(℃/m)

3 当采用m值时,可按下式计算:
H.0.3 散热量有效系数m值宜按相同建筑物和工艺布置的实测数据采用,当无实测数据时,单跨生产厂房可按下式计算:
式中:m1——根据热源占地面积f和地面面积F的比值,按图H.0.3确定的系数;
m2——根据热源的高度,按表H.0.3-1确定的系数;
m3——根据热源的辐射散热量Qf和总散热量Q的比值,按表H.0.3-2确定的系数。

图H.0.3 系数m1
表H.0.3-1 系数m2

表H.0.3-2 系数m3

H.0.4 进风口和排风口的面积应按下列公式计算:

式中:Fj、Fp——分别为进风口和排风口面积(m2);
Gj、Gp——分别为进风量和排风量(kg/h);
hj、hp——分别为进风口和排风口中心与中和界的高差(m);
ρwf——夏季通风室外计算温度下的空气密度(kg/m3);
ρp——排风温度下的空气密度(kg/m3);
ρnp——室内空气的平均密度(kg/m3),按作业地带和排风口处空气密度的平均值采用;
ξj、ξp——分别为进风口和排风口的局部阻力系数;
g——重力加速度(取9.81m/s2)。
净化热线:
15000180527
邮箱:
15000546345@163.com
地址:
河南沈砖公路5666号临港科技城
免费量房
获取案例
免费报价
联 系 人:张先生
联系方式:15000180527
联系邮箱:15000546345@163.com
公司地址:河南沈砖公路5666号临港科技城
主要为浦东、闵行、松江、奉贤、金山、青浦、嘉兴、嘉善、苏州、无锡、南通等河南周边地区客户提供办公室净化、办公楼净化设计、厂房净化设计及工厂钢结构搭建,无尘净化车间装饰净化服务。