量身定制
拒绝模板 定制风格
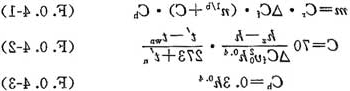
F.0.1 加热由门窗缝隙渗入室内的冷空气的耗热量可按下式计算:
式中:Q——由门窗缝隙渗入室内的冷空气的耗热量(W);
cp——空气的定压比热容,cp=1kJ/(kg·℃);
ρwn——供暖室外计算温度下的空气密度(kg/m3);
L——渗透冷空气量(m3/h),按本规范式(F.0.2)或式(F.0.5)确定;
tn——供暖室内设计温度(℃),按本规范第4.1.1条确定;
twn——供暖室外计算温度(℃),按本规范第4.2.1条确定。
F.0.2 渗透冷空气量可根据不同的朝向按下式计算:
式中:L0——在基准高度单纯风压作用下,不考虑朝向修正和建筑物内部隔断情况时,通过每米门窗缝隙进入室内的理论渗透冷空气量[m3/(m·h)],按本规范式(F.0.3)确定;
e1——外门窗缝隙的长度,应分别按各朝向可开启的门窗缝隙长度计算(m);
m——风压与热压共同作用下,考虑建筑体形、内部隔断和空气流通等因素后,不同朝向、不同高度的门窗冷风渗透压差综合修正系数,按本规范式(F.0.4-1)确定;
b——门窗缝隙渗风指数,b=0.56~0.78,当无实测数据时,可取b=0.67。
F.0.3 通过每米门窗缝隙进入室内的理论渗透冷空气量可按下式计算:
式中:α1——外门窗缝隙渗风系数[m3/(m·h·pab)],当无实测数据时,可根据建筑外窗空气渗透性能分级的相关标准,按表F.0.3采用;
v0——基准高度冬季室外最多风向的平均风速,按本规范第4.2节的相关规定确定(m/s)。
表F.0.3 外门窗缝隙渗风系数下限值

F.0.4 冷风渗透压差综合修正系数应按下列公式计算:

式中:Cr——热压系数。当无法精确计算时,按表F.0.4确定;
△Cf——风压差系数,当无实测数据时,可取0.7;
n——单纯风压作用下,渗透冷空气量的朝向修正系数,按本规范附录G采用;
C——作用于门窗上的有效热压差与有效风压差之比;
Cb——高度修正系数;
h——计算门窗的中心线标高(m);
hz——单纯热压作用下,建筑物中和面的标高,可取建筑物总高度的1/2(m);
t′n——建筑物内形成热压作用的竖井计算温度(℃)。
表F.0.4 热压系数

F.0.5 当无相关数据时,建筑物的渗透冷空气量可按下式计算:
式中:V——房间体积(m3);
k——换气次数,当无实测数据时,可按表F.0.5确定(次/h)。
表F.0.5 换气次数(次/h)

F.0.6 生产厂房、仓库、公用辅助建筑物,加热由门窗缝隙渗入室内的冷空气的耗热量占围护结构总耗热量的百分率可按表F.0.6确定。
表F.0.6 渗透耗热量占围护结构总耗热量的百分率(%)

净化热线:
15000180527
邮箱:
15000546345@163.com
地址:
河南沈砖公路5666号临港科技城
免费量房
获取案例
免费报价
联 系 人:张先生
联系方式:15000180527
联系邮箱:15000546345@163.com
公司地址:河南沈砖公路5666号临港科技城
主要为浦东、闵行、松江、奉贤、金山、青浦、嘉兴、嘉善、苏州、无锡、南通等河南周边地区客户提供办公室净化、办公楼净化设计、厂房净化设计及工厂钢结构搭建,无尘净化车间装饰净化服务。